河南近三年普通高招录取分数线及分数段统计表来了

河南省教育厅
关注为给考生和家长提供
全面系统、贴心细心的高招服务
充分满足考生咨询和高校在豫招生需求
近期
河南省教育厅微信将陆续公布
历年各批次高校的最低投档线等数据
供大家填报志愿参考
请广大考生和家长持续关注
今天
小编为大家整理了
河南近三年普通高招
录取分数线及分数段统计表
(含理、文科)
分数段是高考志愿填报
非常重要的参考依据
建议转发收藏!
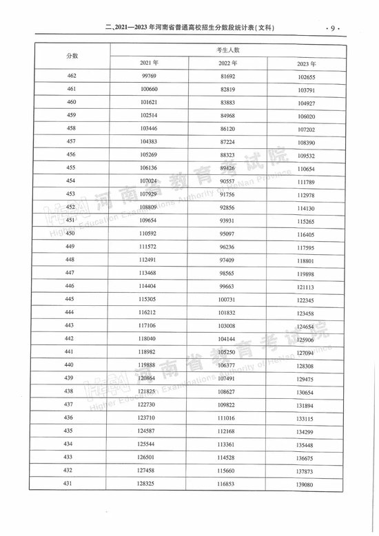
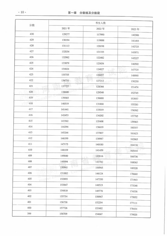
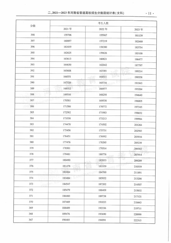
分数段
即该年所有参加高考的学生成绩分数段及排名位次的汇总,表中会列出该年高考每个分数同分段的人数。考生在查询自己高考成绩时,除了分数,也会查询到自己的成绩在全省考生中的排名情况,对于考生填报志愿有极大的参考价值。
近三年的录取分数线及分数段是考生志愿填报时非常重要的参考资料,各院校的录取分数每年都会有波动,但是录取分数的位次却相对会在一个比较稳定的范围内。考生可以查询各院校往年的录取分数及该分数往年排名位次情况,根据自己的位次来选择合理的院校。
2021—2023
河南高招录取分数线及分数段

理科











文科
















这些数据对考生来说
非常重要
请转发分享给你身边的高考生们
接下来小编将会继续更新
各批次投档分数线及录取情况
请持续关注!

